Tel: +86-18795859521  E-mail: henry@hshaluc.com
English
Industry Applications
Home » Industry Application » Influence Mechanism And Control Strategy of Extrusion Speed on Dimensional Tolerance of Aluminum Profiles

Influence Mechanism And Control Strategy of Extrusion Speed on Dimensional Tolerance of Aluminum Profiles

Views: 0     Author: Site Editor     Publish Time: 2026-03-24      Origin: Site

facebook sharing button
twitter sharing button
line sharing button
wechat sharing button
linkedin sharing button
pinterest sharing button
whatsapp sharing button
kakao sharing button
snapchat sharing button
telegram sharing button
sharethis sharing button

1. Physical Mechanism of Dimensional Tolerance Influenced by Extrusion Speed

1.1 Thermal shrinkage effect

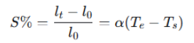
Aluminum alloy profiles inevitably undergo shrinkage deformation after being extruded in a hot state and cooled to room temperature. The shrinkage rate S% can be expressed as

公式1

α denotes the linear expansion coefficient, Te represents the extrusion outlet temperature and Ts indicates the ambient temperature. The equation demonstrates a linear relationship between shrinkage and outlet temperature: higher outlet temperatures result in greater post-cooling shrinkage, leading to profiles with negative dimensional tolerances; conversely, lower outlet temperatures yield smaller shrinkage and profiles with positive dimensional tolerances.

Extrusion speed directly affects the transformation temperature (Te) through deformation thermal effects. During hot extrusion, over 90% of plastic deformation work and friction work are converted into heat. Higher speeds result in greater deformation work per unit time, leading to increased temperature rise and subsequent larger post-cooling shrinkage. Taking 6061 alloy as an example, when the exit temperature is maintained within the 510-540°C range, each 1 m/min increase in extrusion speed raises the exit temperature by approximately 5-8°C, resulting in significantly greater dimensional shrinkage after cooling. The formula also reveals that higher extrusion temperatures lead to greater deformation. Therefore, under the premise of ensuring the mechanical properties of the product, lower extrusion temperatures should be adopted whenever possible.

2.2 Metal Flow Uniformity

The impact of extrusion speed on metal flow uniformity can be quantitatively characterized by the root mean square of cross-sectional flow speed. Excessive extrusion speed leads to significant flow inhomogeneity. This occurs because increased speed intensifies deformation thermal effects, causing localized temperature rises that reduce deformation resistance at affected areas. Under identical extrusion pressure, accelerated flow speed further exacerbates this phenomenon, creating a positive feedback loop. The direct consequence of such flow velocity inhomogeneity is:

For profiles with openings, dimensional variations in the opening size are prone to occur;

The profiles exhibit waves, twisting, gaps or dimensional irregularities;

Defects such as expansion and merging may occur, which can lead to scrapping in severe cases.

2.3 Speed-Temperature-Flow Three-Field Coupling

The effect of extrusion speed on dimensional tolerance is achieved through the speed-temperature-flow three-field coupling:

Speed → Temperature: Increased speed → Elevated deformation heat → Raising outlet temperature

Temperature → Flow: Increased temperature → Reduced deformation resistance → Further acceleration of local flow velocity (positive feedback)

Temperature → Shrinkage: Increased temperature → Greater cooling shrinkage → Dimensions tend toward negative tolerances

Flow → Dimension: Inconsistent flow speed → Dimensional variations across different sections → Excessive form and position tolerances

This coupling mechanism amplifies the impact of speed on tolerance. Even when the overall speed remains constant, uneven temperature distribution can still induce dimensional fluctuations. Therefore, controlling speed values alone is insufficient, coordinated control of speed and temperature must be implemented.

3. Effect of Extrusion Speed on Tolerance Variations of Different Structural Profiles

3.1 Open-ended and Cantilever Profiles

For open-ended products and solid/hollow profiles with cantilevered cross-sections, fluctuations in extrusion speed exert particularly significant influence. Excessive speed intensifies metal impact on the die's cantilevered sections, inducing elastic deformation and resulting in substantial angular variations. To control dimensional variations in profile openings, flow channels can be incorporated into the die structure to regulate metal flow dynamics.

For this type of profile, the elastic deformation of the die must also be considered. To ensure die rigidity, the die thickness can be appropriately increased or specialized pads with similar shapes can be used.

3.2 Difference between forward extrusion and reverse extrusion

The extrusion method significantly impacts product accuracy. Forward extrusion typically results in greater wall thickness at the front end (the initial extrusion section) compared to the rear end, whereas reverse extrusion exhibits minimal thickness variation between the front and rear ends. This phenomenon occurs because friction between the billet and extrusion barrel wall during forward extrusion causes longitudinal variations in temperature distribution and flow patterns.

Therefore, reverse extrusion offers easier control over dimensional accuracy of the product. For precision profile manufacturing, reverse extrusion demonstrates significant advantages.

3.3 Precision Miniature Profiles

For precision small-section profiles with stringent tolerance requirements of ±0.04 mm (such as thin-walled profiles for instrumentation), instantaneous variations in extrusion speed directly impact cross-sectional dimensions. Precision aluminum profiles used in potential difference meters must maintain cross-sectional dimensional tolerances within ±0.07 mm, while those for weaving machines require ±0.04 mm tolerance with angular deviations below 0.5°. The speed control requirements for these profiles are specifically manifested in:

Isothermal extrusion must be employed to ensure minimal temperature difference between the front and rear ends;

The amplitude of speed fluctuations should be controlled within an extremely narrow range;

Advanced closed-loop control system is required.

3.4 Large-sized profiles for high-speed trains

High-speed train aluminum profiles are characterized by large dimensions, complex cross-sections and high width-to-thickness ratios, with maximum widths reaching 938 mm and minimum wall thicknesses as low as 1.5 mm. The maximum wall thickness ratio for a single profile can reach 5. These profiles exhibit extreme sensitivity to extrusion speed, necessitating solutions for challenges such as gradient induction heating of ingots, nitrogen cooling in molds, extrusion speed control and real-time temperature monitoring to achieve isothermal extrusion.

4. Optimization Strategy of Extrusion Speed Based on Tolerance Control

4.1 Isothermal Extrusion Technology

Isothermal extrusion refers to a processing method that maintains a constant die outlet temperature (with minimal temperature difference) during the extrusion process. Its theoretical basis is that temperature variations can induce dimensional changes in the product, with greater temperature fluctuations resulting in more significant deformation. Therefore, to ensure dimensional accuracy of the product, isothermal extrusion must be employed.

The technical approaches to achieve isothermal extrusion include:

4.1.1 Temperature-Speed Closed-loop Control (Tips Control System)
Modern advanced extruders are equipped with a Tips control system (isothermal extrusion system), which monitors the temperature of the die-extruded profiles in real time using an infrared thermometer. The temperature signals are fed back to the PLC control system, where they are compared with the set temperature to adjust the extrusion speed in real time. This closed-loop control ensures consistent or minimal temperature differences between the front and rear ends of the product.

4.1.2 Gradient Heating of Casting Bars
If the extruder lacks an isothermal extrusion device, gradient heating can be applied to aluminum bars to achieve approximate isothermal extrusion. By maintaining higher temperatures at the front end and lower temperatures at the rear end of the cast bar, the gradual accumulation of deformation heat during extrusion can be compensated for, resulting in consistent outlet temperature.

4.2 Isostatic extrusion technology

Isostatic extrusion refers to maintaining a constant linear speed of metal flow from the die orifice. Modern extruders are typically equipped with Fi control systems (isostatic extrusion control systems), which monitor and adjust the feed speed of the extrusion shaft in real time to compensate for pressure fluctuations caused by changes in billet length during extrusion, ensuring a consistent metal flow rate.

The significance of isostatic extrusion for tolerance control lies in:

Avoid variations in opening size caused by speed fluctuations;

Prevent the profile from developing waves, twisting, gaps or dimensional irregularities;

Provide basic conditions for isothermal extrusion.

4.3 Collaborative Optimization of Process Parameters

4.3.1 The reasonable range of extrusion speed

The appropriate extrusion speed varies depending on the alloy type and structural profile design:

6063 aluminum alloy architectural profiles: generally controlled at 30-60 m/min

6061 alloy industrial profiles: generally controlled at 5-15 m/min

Large-sized profiles for high-speed trains: Achieve isothermal extrusion through precise control

The upper limit of extrusion speed should be determined based on the absence of extrusion cracks. Excessive speed increases the thermal deformation effect, which may cause metal adhesion in the working zone of the die, resulting in surface pitting and reduced dimensional accuracy.

4.3.2 Cooling uniformity control

Cooling of the product after exiting the extrusion die cavity is critical. It is essential to maintain uniform and constant cooling rates to ensure consistent shrinkage of the product. Inadequate cooling may lead to:

Local contraction differences induce bending deformation;

Residual stress causes subsequent processing deformation;

Uneven tissue properties affect dimensional stability;

The modern extrusion production line employs a combined air-mist precision online quenching technology to achieve precise control of cooling intensity.

4.3.3 Orthogonal design optimization

Through orthogonal design method, the influence of extrusion temperature, extrusion speed, extruded billet and die structure on metal flow uniformity is comprehensively considered. Using the average standard speed deviation at the profile exit, the average extrusion force applied to the billet and the average maximum equivalent stress as evaluation criteria, the optimal process scheme can be selected.

4.4 Full-process Quality Control

4.4.1 Casting Ingot Quality

Inhomogeneous composition and structure of cast ingots, along with defects such as inclusions, segregation and coarse grains, can impair metal flow and deformation, leading to dimensional variations in the final product. For precision extrusion processes, the cast ingot must undergo homogenization treatment, with grain size controlled within the first order.

4.4.2 Die Quality

The die is the most direct factor affecting the dimensional accuracy of extruded products. For precision extrusion, the die must meet the following requirements at operating temperatures (approximately 500°C): yield strength of no less than 1200 N/mm², nitriding layer hardness exceeding 1150 HV, nitriding layer depth ranging from 0.25 to 0.45 mm and dimensional variation of the die within 0.02 mm after nitriding.

4.4.3 Device Accuracy

The quality of the extruder directly affects the precision of extruded products. Generally, the extruder's tension column should be a prestressed integral structure with excellent equipment rigidity and alignment. For precision extrusion, the center deviations of the die, extrusion barrel and extrusion rod must be less than 0.2 mm.


We maintain a stock of 5,000 tons of various aluminium materials, with annual sales exceeding 50,000 tons. Our products serve numerous industries.
NEWSLETTER

Quick Links

Product Category

Contact Us
+86-18795859521 
Room 801, building 04, No.12, Shuanglong North Road, Jiangbei New District, Nanjing, China
Copyright © 2025   Hengshihui (Nanjing) New Material Technology Co., Ltd. All rights reserved  Sitemap   Privacy Policy